El viernes 11 de febrero tuvimos la segunda sesión en el laboratorio. En esta sesión analizamos dos circuitos ya presentados en clase de teoría: el filtro paso alto y el filtro paso bajo.
[Cómo en la sesión anterior, primero se trató la parte teórica del circuito, y luego ya se pasó a la experimentación]
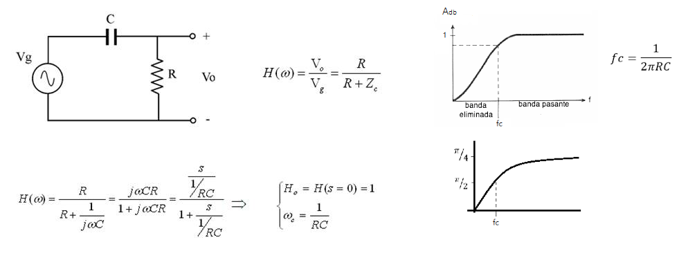
El filtro de paso bajo está formado por una resistencia y un condensador formando un divisor de tensión. En este caso, la impedancia es inversamente proporcional a la pulsación, es decir, cuando la pulsación sea alta (frecuencias altas) la impedancia será baja igual que su caída de tensión, y por lo tanto, se comportará como un cortocircuito (amplificación 0). Por el contrario, pulsaciones bajas, pueden hacer aumentar la amplificación hasta 1.
Así pues, este circuito "deja pasar" casi inalteradamente señales con frecuencias bajas, y atenua considerablemente aquellas que considera altas.
Para determinar estas frecuencias altas y bajas, se establece una frecuencia de corte que es igual a 1/2πRC, que en el circuito se mostrará como una relación Vo/Vg = 0,707 y desfase de π/4.
Modelo circuital y gráficas frecuencia de corte
Cuando llevamos este experimento en el laboratorio, se comprovaron todas estas predicciones:
El circuito fue montado con un condensador de 47 nF, una resistencia de 6k8 ohms y una tensión de excitación de 5 V y frecuencia 500 Hz.
Como la frecuencia aplicada era la de corte, vimos que la salida era 0,707 veces la de entrada (concretamente, 3,55 V) y el desfase de -π/4 (aproximadamente 250 µs).
Imagen obtenida en el osciloscopio (azul : Vg, rojo: Vo)
A continuación, experimentamos con frecuencias distintas a la de corte para poder ver el comportamiento del circuito:
- Subimos la frecuencia hasta los 5kHz (f >> 1/2πRC) y vimos que la amplitud de Vo se reduce considerablemente y nos encontramos con un desfase de -π/2.
- Por el contrario, bajamos la frecuencia hasta los 50 Hz (f << 1/2πRC) y vimos que Vo era pràcticamente igual que Vg, con desfase y amplificación casi inexistentes.
Al tener estos resultados, vimos que podía servir para "limpiar" señales que no tengan sobrepuesta otra señal, de frecuencias distintas. Esto resultará porque hará menos preciable la señal con frecuencia alta, siempre que las dos esten alejadas de la frecuencia de corte.
(Las señales se han separado, pero realmente, se encuentras sobrepuestas)
A continuación, tratamos al caso contrario del circuito anterior, es decir, el filtro de paso alto, donde el condensador y el resistor cambian de posición, y esto responde dejando pasar las señales de frecuencia alta.
Modelo circuital y gráficas frecuencia de corte
Para analizarlo, montamos un circuito con dos excitaciones: una alterna a 500 Hz y otra de contínua a 5 V, conectada a Vo con un divisor de tensión con resistores iguales.
Lo analizamos por suerposición y vimos que como la frecuencia era mucho más alta que la de corte, la señal pasaba por el circuito sin problemas (amplificación y desfase 0), y la parte contínua, como estaba formada por un divisor de tensión con resistencias del mismo valor, la tensión de salida era la mitad que la de entrada (concretamente 2,5 V).
Por lo consiguiente, en el osciloscopio vimos que se trataba de la misma señal pero desplazada 2,5 V (se le ha sumado la componente contínua).
Finalmente, vimos que se podían realizar estos experimentos en casa y utilizar el tester, pero con precaución, ya que este sólo mide los valores eficaces (amplitud real dividida por raíz de 2).



Cap comentari:
Publica un comentari a l'entrada